Meeting No.: 12 (11/21/2008)
My (hopefully) final results
In this step of my analysis I have excluded those data which contained inconsistencies in the Tiefenbach energies.
(Please see the figures below).
Legend:
----------------------------------
Black line - LH2 runs
Red line - LD2 runs
Blue line - 12C runs
Green line - H runs
----------------------------------
Good runs

Bad runs
Once I have extracted only those data kinematics where the beam energy didn't change between different
runs I was able to get more consistent results.
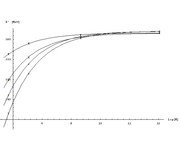
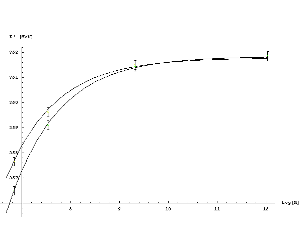
Calculated beam energies for various kinematic points are
shown in the graph below. The full data points correspond to the calculated beam energy values, while the
hollow data points represent the tiefenbach data, read from the HALOG data. The data points marked with stars
represent those reconstructed beam energies, where I have used only Ta and C data to fit the beam energy.
From the results it can be clearly seen that the reconstructed energies change consistently with the Tiefenbach
data.
Afterwards I have also checked how central momenta of the spectrometer change with the run numbers. We can see, that
calculated central momentum of the spectrometer changes consistently with the Hall-probe data, but the difference between the
Hall-probe data and calculated values is not constant. I have to check, if these "fluctuations" are construct of my analysis or
are they real, meaning that the momentum of the spectrometer did change but Hall-probes didn't recognize these changes.